Skip to content
Epsilonify
  • Mathematics
    • Calculus
    • Coding Theory
    • Field Theory
    • Group Theory
    • Linear Algebra
    • Number Theory
    • Ring Theory
  • Toggle website search
Menu Close
  • Mathematics
    • Calculus
    • Coding Theory
    • Field Theory
    • Group Theory
    • Linear Algebra
    • Number Theory
    • Ring Theory
  • Toggle website search

Calculus

  1. Home>
  2. Mathematics>
  3. Calculus>
  4. Page 4
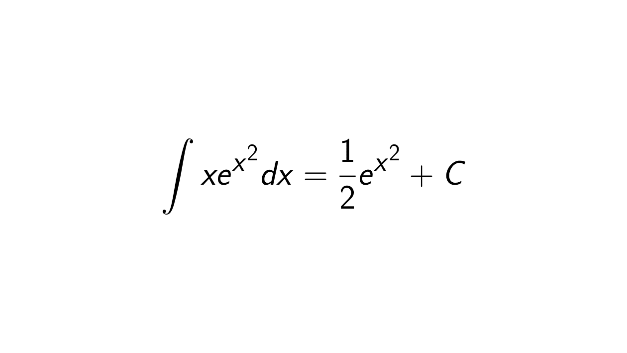
Read more about the article What is the integral of xe^(x^2)?
integral of xe^(x^2)

What is the integral of xe^(x^2)?

  • Post published:February 7, 2023
  • Post category:Calculus/Mathematics
  • Post comments:0 Comments
Continue ReadingWhat is the integral of xe^(x^2)?
Read more about the article What is the integral of ln^2(x)?
integral of ln^2(x)

What is the integral of ln^2(x)?

  • Post published:February 3, 2023
  • Post category:Calculus/Mathematics
  • Post comments:0 Comments
Continue ReadingWhat is the integral of ln^2(x)?
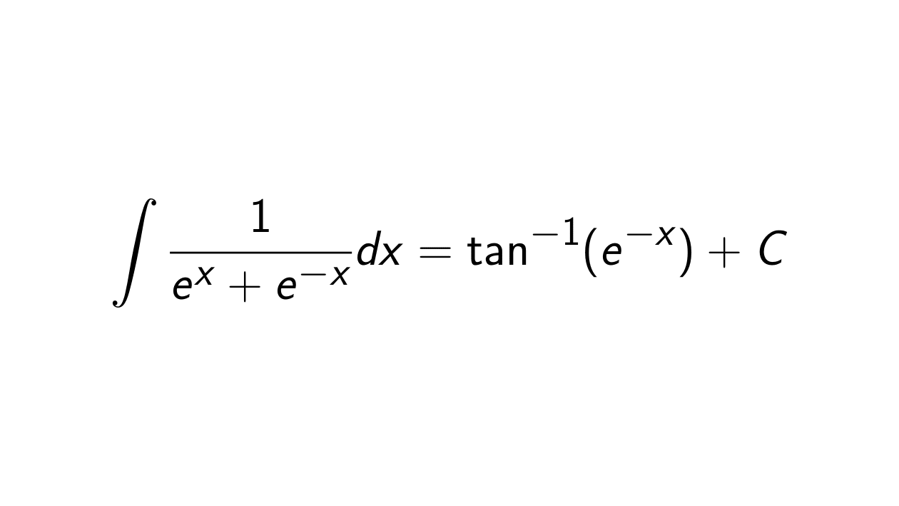
Read more about the article What is the integral of 1/(e^x + e^-x)?
integral of 1/(e^x + e^-x)

What is the integral of 1/(e^x + e^-x)?

  • Post published:January 30, 2023
  • Post category:Calculus/Mathematics
  • Post comments:0 Comments
Continue ReadingWhat is the integral of 1/(e^x + e^-x)?
Read more about the article What is the integral of 1/(e^x + 1)?
integral of 1/(e^x + 1)

What is the integral of 1/(e^x + 1)?

  • Post published:January 28, 2023
  • Post category:Calculus/Mathematics
  • Post comments:0 Comments
Continue ReadingWhat is the integral of 1/(e^x + 1)?
Read more about the article What is the integral of (e^x + 1)/(e^x – 1)?
what is the integral of (e^x + 1)/(e^x - 1)

What is the integral of (e^x + 1)/(e^x – 1)?

  • Post published:January 26, 2023
  • Post category:Calculus/Mathematics
  • Post comments:0 Comments
Continue ReadingWhat is the integral of (e^x + 1)/(e^x – 1)?
Read more about the article What is the integral of cot^2(x)?
integral of cot^2(x)

What is the integral of cot^2(x)?

  • Post published:January 24, 2023
  • Post category:Calculus/Mathematics
  • Post comments:0 Comments
Continue ReadingWhat is the integral of cot^2(x)?
Read more about the article What is the integral of csc^2(x)?
integral of csc^2(x)

What is the integral of csc^2(x)?

  • Post published:January 22, 2023
  • Post category:Calculus/Mathematics
  • Post comments:0 Comments
Continue ReadingWhat is the integral of csc^2(x)?
Read more about the article Prove that 1 + cot^2(x) = csc^2(x)
1 + cot^2(x) = csc^2(x)

Prove that 1 + cot^2(x) = csc^2(x)

  • Post published:January 20, 2023
  • Post category:Calculus/Mathematics
  • Post comments:0 Comments
Continue ReadingProve that 1 + cot^2(x) = csc^2(x)
Read more about the article What is the integral of tan^2(x)?
integral of tan^2(x)

What is the integral of tan^2(x)?

  • Post published:January 18, 2023
  • Post category:Calculus/Mathematics
  • Post comments:0 Comments
Continue ReadingWhat is the integral of tan^2(x)?
Read more about the article Prove that tan^2(x) + 1 = sec^2(x)
tan^2(x) + 1 = sec^2(x)

Prove that tan^2(x) + 1 = sec^2(x)

  • Post published:January 16, 2023
  • Post category:Calculus/Mathematics
  • Post comments:0 Comments
Continue ReadingProve that tan^2(x) + 1 = sec^2(x)
  • Go to the previous page
  • 1
  • 2
  • 3
  • 4
  • 5
  • 6
  • 7
  • …
  • 12
  • Go to the next page
Copyright - OceanWP Theme by OceanWP